快速订购
全球各地区
供应商品
热搜产品:
汉高快连*Glueforce固科*道康宁*威肯*美国大猩猩*戴马斯
0755-82339163
服务时间:9:00 - 18:00 - 节假日除外 -
首页
胶水大全
快连胶水设备
解决方案
资质证书
客户案例
胶水百科
关于快连
新闻资讯
常见问答
荣誉资质
合作客户
联系我们
公司介绍
联系方式
解决方案
汽车用胶
医疗用胶
电子用胶
通讯用胶
电机用胶
航空用胶
生活用胶
船舶用胶
工业用胶
Glueforce点胶机使用案例
胶水应用技术
联系我们
总机:0755-8233-9163
传真:0755-8233-9162
手机:
180-2539-0260(微信同号);
135-1085-6870
邮件:e-commerce1@glue.com.hk
联系地址:深圳市罗湖区人民南路2008号深圳嘉里中心1313
常见问答
问
如何复检产品的合格性?
问
产品废弃物怎么处理?
问
产品保质期多久?
问
双组份丙烯酸胶黏剂使用方法?
问
丙烯酸胶黏剂的储存方式和保质期
问
合理的混胶比例误差控制范围?
问
应用前如何清洁粘接基材表面?
问
什么方法可以缩短固定时间?
问
丙烯酸结构胶的耐温范围?
问
混胶嘴可以反复使用吗?
相关新闻
快连胶水供应商-快连胶水授权经销
快连公司旅行|珠海行
汉高CTS交流会
淀粉酯化共聚合成木材用胶黏剂是什么?
无溶剂胶粘剂使用的三大难题及解决办法
如何选好粘接接头
PVC密封条静电植绒胶水
环氧树脂胶的应用及范围
如何让胶水在粘接场地保持好质量控制
汉高技术研讨交流会
“逆天”压敏胶,粘接力媲美结构胶,竟由小分子离子液体构成?
首页
>
解决方案
>
胶水应用技术
“逆天”压敏胶,粘接力媲美结构胶,竟由小分子离子液体构成?
分享给朋友:
来源:
作者:转载
收藏
2306
视频说明
众所周知,传统胶粘剂,如聚氨酯胶、MS胶、环氧胶、丙烯酸胶、UV胶、硅酮胶等,大都采用高分子聚合物作为主要有效成分。因为聚合物拥有较高的内聚能,提供胶粘剂自身较好的内聚强度和力学性能。
即使是快干胶,尽管产品成分是由小分子组成,但也得固化交联成为高分子聚合物后,才能对被粘接的基材提供有效的粘接力。
然而,湖南大学的科研团队却反其道而行之,研发出了小分子离子液体基粘合剂(Tri-HT),在室温下表现出极高的剪切粘合力(>10MPa)
该工作以“Small-molecule ionic liquid-based adhesive with strong room-temperature adhesion promoted by electrostatic interaction”为题,发表在国际顶级期刊《Nature Communications》上。
不过,《胶界》有必要去强调的一件事是,尽管这个科研团队把这类胶称为小分子离子液体基粘合剂(Tri-HT),但它在常温下并非是液体,而是以固态形式存在。只有在高温下(e.g. 100℃),才表现为液体状态。
这款离子液体基胶合剂虽然常温下为固体,但表面是发粘的、具有很好的压敏性。只需用手指一压,就能把一个500g重的砝码粘起来,且不掉落。
而且这压敏胶还可以实现水下粘合效果:科研团队把它做成单面胶带,可以直接在水中修补/密封破洞的玻璃或者塑料瓶。
这款热熔压敏胶对不同材料都有很好的粘接效果,尤其是陶瓷和金属:该研发团队先把这款热熔压敏胶在100℃下熔融,然后涂布在被粘接的一面基材上,接着把另一个基材热压在涂敷压敏胶的基材上,构成剪切测试样件;等测试件温度见到室温25℃时,测试剪切方向粘结强度。
由上图可见,这款热熔压敏胶在金属上都表现出很好的粘结性能:对于铝(Al)、不锈钢(SS)和铜(Cu),剪切粘结强度分别是8.14、6.91和7.73MPa,而对于陶瓷(Ceramic)的粘接力更是高达10.5MPa。
这性能几乎媲美常规结构粘接胶!
对于其它各种塑料基材,也表现出不输于其它压敏胶的粘接强度。
那么,这款小分子离子液体基粘合剂到底是怎样制备的呢?
其实,设计思路并不复杂,主要是将离子液体(IL)片段嵌入到有机分子骨架中即可,其分子结构如下:
可能正是用到了离子液体原材料的原因,该科研团队才会称呼此类粘合剂为小分子离子液体基胶粘剂吧。
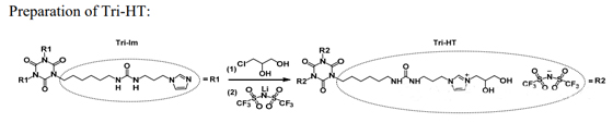
而要合成Tri-HT粘合剂,需要用到两步合成法:第一步是将Tri-Im与3-氯-1,2-丙二醇反应,得到的产物产率为80%;第二步是继续与LiTFSI 盐反应,即可得到目标产物,此产率则为95%。
研究者认为,液体基团的引入,不仅可以通过阴、阳离子间的静电相互作用提高材料本身的内聚强度,还能有效抑制刚性和有序氢键网络的形成,以释放更多能在界面处形成氢键的氢键供体/受体,提高界面粘附强度,从而实现小分子离子液体在各种基底表面的高强度粘附。
最后,还是如实强调一下,这类胶粘剂的具体生产操作细节还是有些复杂的,并没纸上描述的那么简单;同时所用的部分原料也不是很好获得、成本较高,因此这技术距离商业化还有很长的路要走,不过也给胶粘剂行业带来了新的技术路径,值得研究。
上一篇:
高耐溶剂性:解决界面润湿与内聚能的矛盾
下一篇:
无
相关标签
你可能感兴趣的
快连竭力为每一位需要用胶水的客户提供最完美的售后解决方案,不再为粘接而烦恼
LOCTITE SI 5421-快连5421硅胶TDS下载-快连快连胶水代理商
LOCTITE HY 4092-快连4092环氧树脂胶TDS下载
Loctite Nordbak PC 7117-快连PC 7117环氧树脂
LOCTITE UK 1367 B10-快连UK 1367环氧树脂胶TDS下载-快连快连胶水代理
快连5611S-Loctite 5611S硅胶TDS下载-快连快连胶水代理商
Loctite SI 5050-快连5050密封胶TDS下载-快连快连胶水代理
LOCTITE SI 5033-快连5033双固化硅酮密封胶TDS下载-快连快连胶水代理
LOCTITE 4314-快连4314UV胶TDS下载-快连快连胶水代理
LOCTITE HHD 8000R-快连8000R结构胶TDS下载-快连快连胶水代理商
LOCTITE 534-快连534密封胶TDS下载-快连快连胶水代理
LOCTITE AA 3380丙烯酸结构胶-快连3380结构胶TDS下载-快连快连胶水代理商
LOCTITE ABLESTIK ABP 2032S-快连2032S导电胶-快连快连胶水代理商
业务QQ
0755-82339163